|
JPEG
|
<< map >> |
![]() |
|
| inADA | |
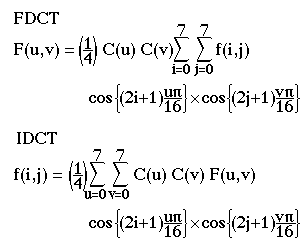
DCTThe formula for the DCT (Discrete Cosine Transformation) is shown in the equations above.The upper equation is for compression of the original data to the more compact form, while the lower is for decompression. |
|